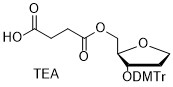
Diabodies are noncovalent dimers of single-chain antibody fragments that retain the avidity of intact IgG but have more favorable blood clearance than intact IgG. Radiometals offer a wide range of half-lives and emissions for matching imaging and therapy requirements and provide facile labeling of c
Welcome to visit us at Shanghai&Milan CPHI in 2024!
长效胰岛素:即将进入每周一次新时代 转载自 Armstrong 医药笔记 2023-09-06 08:52 发表于北京▎Armstrong 2000年,甘精胰岛素获批上市,迅速成为基础胰岛素的标准疗法,并在很长时间内成为最畅销的降糖药品种。此外,由于胰岛素的治疗窗口较窄,这让更长效的胰岛素进展缓慢。不过,近年来,诺和诺德、礼来的每周一次超长效胰岛素陆续获得突破,基础胰岛素很快将进入每周一次给药的新时代。
OLUMIANT is the first and only JAK inhibitor FDA-approved for the treatment of COVID-19 in certain hospitalized adults requiring various degrees of oxygen support.INDIANAPOLIS, May 11, 2022 /PRNewswire/ -- Eli Lilly and Company (NYSE: LLY) and Incyte (NASDAQ: INCY) announced today the U.S. Food and
Mounjaro delivered superior A1C reductions versus all comparators in phase 3 SURPASS clinical trialsWhile not indicated for weight loss, Mounjaro led to significantly greater weight reductions versus comparators in a key secondary endpointMounjaro represents the first new class of diabetes medicines